उत्तर पश्चिम रेलवे की नई समय सारणी 1जनवरी को होगी जारी
- नई ट्रेनों के संचालन
- ट्रेनों के विस्तार
- फेरों में बढ़ोतरी
- नए ठहराव
- ट्रेनों की विभिन्न स्टेशनों पर आगमन/प्रस्थान समय में परिवर्तन इत्यादि होंगे शामिल
जोधपुर(दूरदृष्टीन्यूज),उत्तर पश्चिम रेलवे की नई समय सारणी 1जनवरी को होगी जारी। उत्तर पश्चिम रेलवे पर हो रहे दोहरीकरण,विद्युतीकरण आदि आधारभूत संरचना के कार्यों के कारण रेल संचालन की गति में वृद्धि और समय में बचत हुई है। इसके फलस्वरूप ट्रेनों के संचालन की समय सारणी में बदलाव हुआ है।
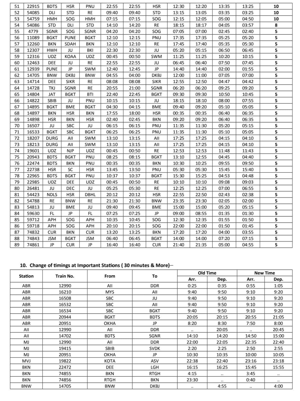
उत्तर पश्चिम रेलवे के मुख्य जन संपर्क अधिकारी शशि किरण के अनुसार उत्तर पश्चिम रेलवे पर ट्रेनों के संचालन की नई समय सारणी 1 जनवरी 2026 को जारी की जा रही है। नई समय सारणी में नए ट्रेनों के संचालन,ट्रेनों के विस्तार,फेरों में वृद्धि,ट्रेन संख्या में बदलाव,नए ठहराव तथा विभिन्न स्टेशनों पर ट्रेनों के आगमन व प्रस्ताव समय में हुए परिवर्तन आदि को सम्मिलित किया गया है। नई समय सारणी की प्रमुख विशेषता 61 ट्रेनों के विभिन्न स्टेशनों पर 01 जनवरी 2026 से दिए जा रहे नए ठहराव हैं।







नई समय सारणी में 12 जोड़ी नई ट्रेनें, 04 जोड़ी ट्रेनों के विस्तार,02 ट्रेनों के टर्मिनल स्टेशन में बदलाव, 02 जोड़ी ट्रेनों के फेरों में विस्तार, 12 ट्रेनों के नंबरों में बदलाव,164 ट्रेनों के नए ठहराव जिनमें से 61 ट्रेनों के नए ठहराव 1 जनवरी 2026 से किए जा रहे हैं,को सम्मिलित किया गया है।
इसके अलावा दो ट्रेनों के मेल/एक्सप्रेस से सुपरफास्ट में परिवर्तन,89 ट्रेनों की गति में हुई वृद्धि जिसके कारण इन ट्रेनों के विभिन्न स्टेशनों पर आगमन व प्रस्थान समय में हुए परिवर्तन को शामिल किया गया है। 66 ट्रेनों के विभिन्न स्टेशनों पर आगमन व प्रस्थान समय में 30 मिनट या अधिक समय में हुए परिवर्तन को सम्मिलित किया गया है।
